負の数のたし算をする時 ~色んなやり方があっても良いじゃない~

こんにちは。インターナショナル家庭教師の伊藤慎吾です。
ここ2カ月ほど、ありがたい事に
遠方のインターナショナルスクールに通われる生徒の保護者様から
オンラインの指導依頼をいただくことが増えました♪
今日はオンラインで指導している一人の生徒さんのお話。
先日、学校でFOIL(式の展開)を習い終えた彼女。
指導している中で、FOILのやり方もさることながら、
Addition of negative numbers(負の数のたし算)
も苦手なことが分かってきました。
例えば4+(-7)を11とか3とか答えてしまう等。(正解は-3)
その点について、
“When you see + and – signs in front of a number, – always wins!”
と説明したところ、納得してくれました。
FOILの練習をする前にたくさんその計算練習をしました。
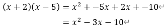
それから本題のFOILの練習に入ると、ユニークな解き方を披露してくれました。
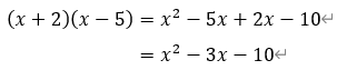
通常、教科書的には、

上のような書き方をすると思うのですが、彼女は

このように+と-のかけ算をした時に、結果に両方の符号を書きました。
恐らく、+と-の両方を書いておけば、それまでの練習通り、
“When you see + and – signs in front of a number, – always wins!”
と判断し易くなるからではないかと思っています。
僕は彼女に、
“I like that idea. It makes sense”
と伝えました。
+と-、両方の符号を連続して書くことは
数学的・教科書的には正しくないやり方/表記かもしれません。
ですが、苦手なことは人それぞれなので
「正しくないから」と頭ごなしに否定するのではなく、
筋が通っているなら色んな解き方があって良いんじゃないかなと思うのです。
数学的に何が正しいかを学ぶことはもちろん大事です。
しかし、その子が大人になった時のことを想うと、
等身大の自分がどんな人間なのかを把握し、自分の個性に合ったオリジナルなやり方を編み出していく
ことの方が、社会で生き抜いていく上ではもっと大事なのではないかと考えています。
そのことに重点を置いて、指導に励んでおります。
ここまでお読みいただき、ありがとうございました。
それではまた!
